You are now in the main content area

Publications

At Toronto Metropolitan University

 

For a complete list of publications and patents, please refer to Dr. Foucher's Google Scholar page (external link) .

"The Preparation of Lignin-Derivable Bisphenols for the Synthesis of Polyurethanes and Nonisocyanate Polyurethanes"

Rachele N. Carafa, Angelica E. Treleven, Maya S. Mott, Brigida Fernandes, Clémence Rakoto, Daniel Foucher, and Guerino Sacripante. Macromolecules 202659 (1), 88-98.

DOI: 10.1021/acs.macromol.5c02731 (external link) 

The chemical versatility of lignin-derivable bisphenols

"Functionalisation of Lignin-Derived Diols for the Synthesis of Thermoplastic Polyurethanes and Polyester Resins"

Rachele N. Carafa, Justin J. S. Kosalka, Brigida V. Fernandes, Unnati Desai, Daniel A. Foucher, and Guerino G. Sacripante. Molecules 202530 (12), 2604.

DOI: 10.3390/molecules30122604 (external link) 

Reacting lignin phenols in a one-step reaction to synthesize polyurethanes and polyesters

"Enhancing the Properties of Sodium Alginate with a Glycerol–Silicate Plasticizer"

Anthony Fasulo, Corradina Towie, Lucie Mouchiroud, Hamza Malik, Daniel Foucher, and Guerino Sacripante. Polysaccharides 2025, 6 (1), 20.

DOI: 10.3390/polysaccharides6010020 (external link) 

Sodium and Calcium Alginate Films with a Plasticizer

"Functionalization of Phenolic Aldehydes for the Preparation of Sustainable Polyesters and Polyurethanes"*

Rachele N. Carafa, Brigida V. Fernandes, Clara Repiquet, Sidrah Rana, Daniel A. Foucher, and Guerino G. Sacripante. Polymers 2025, 17 (5), 643.

DOI: 10.3390/polym17050643 (external link) 

*Featured on the cover of Polymers Volume 17 Issue 5 (external link) 

PU Foam Free Rises

"Hypercoordinating Stannanes with C,N-Donor Ligands: A Structural, Computational, and Polymerization Study"

Gloria M. D'Amaral, Desiree N. Bender, Nicola Piccolo, Alan J. Lough, Robert A. Gossage, Daniel A. Foucher, and R. Stephen Wylie. Inorganics 2024, 12 (4), 122.

DOI: 10.3390/inorganics12040122 (external link) 

Crystal structure of two unique molecules of a pyridyl stannane

"Beauty and the Packaging Beast: Plastic in the Beauty Industry"

Cassandra Sisto, Shelley Haines, and Daniel Foucher. Fashion Studies 2024, 5 (1), 1-24.

DOI: 10.38055/FS050110 (external link) 

Partial chemical structure of PET plastic

"Biobased polymers from lignocellulosic sources"

Rachele N. Carafa, Daniel A. Foucher, and Guerino G. Sacripante. Green Chem. Lett. Rev. 202316 (1), 2153087.

DOI: 10.1080/17518253.2022.2153087 (external link) 

The components of lignocellulose and some of their applications

"New Hypercoordinating Organostannanes for the Modular Functionalization of Mono- and Polystannanes: Synthetic and Computational Studies"

Jeffrey Pau, Jung-Won Choi, Kaitlyn Silverthorne, Mokhamed Ranne, R. Stephen Wylie, Robert A. Gossage, Alan J. Lough, and Daniel A. Foucher. Eur. J. Inorg. Chem. 20222022 (7), e202100937.

DOI: 10.1002/ejic.202100937 (external link) 

PREPRINT: 10.33774/chemrxiv-2021-7gxtw (external link) 

Crystal structure of a thiol stannane

"Evaluation of Virucidal Activity of Residual Quaternary Ammonium-treated Surfaces on SARS-CoV-2"

Alexander G. Caschera, Julie McAuley, Youry Kim, Damian Purcell, Jasper Rymenants, and Daniel A. Foucher. Am. J. Infect. Control 2022, 50 (3), 325-329.

DOI: 10.1016/j.ajic.2021.10.021 (external link) 

PREPRINT: 10.26434/chemrxiv.14555796.v1 (external link) 

Proposed mechanism for the deactivation of Covid-19

"Electrochemical Studies of Chlorine Containing Silanes"

J. Mark A. Hoddenbagh, Daniel A. Foucher, and Dennis J. Worsfold. ChemRxiv 2021, PREPRINT.

DOI: 10.26434/chemrxiv-2021-0hjxl (external link) 

ChemDraw of chlorosilanes used in study

"A structural, DFT and experimental investigation of the ring stability and ring-opening polymerization behaviour of cyclic thionylphosphazenes in the presence of Lewis acid catalysts"

Rachele N. Carafa, Kristy V. Halnan, R. Stephen Wylie, Daniel A. Foucher, Alan J. Lough, Ian Manners, and Andrew R. McWilliams. Polymer 2021233, 124196.

DOI: 10.1016/j.polymer.2021.124196 (external link) 

Two crystal structures of a gallium trichloride coordinated thionylphosphazene

"Site- and Stereoselective C-H Alkylations of Carbohydrates Enabled by Cooperative Photoredox, Hydrogen Atom Transfer, and Organotin Catalysis"

Daniel J. Gorelik, Julia A. Turner, Tarunpreet S. Virk, Daniel A. Foucher, and Mark S. Taylor. Org. Lett202123 (13), 5180-5185.

DOI: 10.1021/acs.orglett.1c01718 (external link) 

Proposed cocatalytic cycle of carbohydrates

"Antimicrobial Testing of Dry Surfaces through Large Droplet Inoculation"

Alexander Caschera, Evan Ronan, Farhan Yusuf, Amir Tehrani, Lukasz Porosa, Otini Krokramp, Gideon Wolfaardt, and Daniel Foucher. Protocol Exchange 2021, PREPRINT.

DOI: 10.21203/rs.3.pex-1383/v1 (external link) 

A figure showing the inoculation of bacteria on coated samples

"Access to thermally robust and abrasion resistant antimicrobial plastics: synthesis of UV-curable phosphonium small molecule coatings and extrudable additives"

Joseph Bedard, Alexander Caschera, and Daniel A. Foucher. RSC Adv. 2021, 11, 5548-5555.

DOI: 10.1039/D1RA00555C (external link) 

AFM of plastic surfaces treated with quaternary phosphonium compounds

"Water Dispersible Sulfo-Polyester Resins with Controlled Nano-Sized Particles"

Guerino G. Sacripante and Daniel A. Foucher. ChemRxiv 2021, PREPRINT.

DOI: 10.26434/chemrxiv.13542101.v1 (external link) 

3D surface plot of glass transition temperature of polyester resins compared to molecular weight and DEG concentration

"UV-Curable Surface-Attached Antimicrobial Polymeric Onium Coatings: Designing Effective, Solvent Resistant Coatings for Plastic Surfaces"

Rachel L. Shum, Siobhan R. Liu, Alexander Caschera, and Daniel A. Foucher. ACS Appl. Bio. Mater. 2020, (7), 4302-4315.

DOI: 10.1021/acsabm.0c00359 (external link) 

AFM of a plastic surface coated with a quaternary ammonium compound

"Preparation and DFT Studies of κ2C,N-Hypercoordinated Oxazoline Organotins: Monomer Constructs for Stable Polystannanes"

Desiree N. Bender, Alan J. Lough, R. Stephen Wylie, Robert A. Gossage, and Daniel A. Foucher. Inorganics 2020, (5), 35. 

DOI: 10.3390/inorganics8050035 (external link) 

Crystal structure of an oxazoline organotin compound

"Hypercoordinated organotin(IV) compounds containing C,O- and C,N- chelating ligands: Synthesis, characterisation, DFT studies and polymerization behaviour"

Aman Khan, Jeffrey Pau, Julie Loungxay, Timbila Magobenny, R. Stephen Wylie, Alan J. Lough, and Daniel A. Foucher. J. Organomet. Chem. 2019900, 120910.

DOI: 10.1016/j.jorganchem.2019.120910 (external link) 

Crystal structure of a chelating C,N organotin compound

"Surface-attached sulfonamide containing quaternary ammonium antimicrobials for textiles and plastics"

Alexander Caschera, Kamlesh B. Mistry, Joseph Bedard, Evan Ronan, Moiz A. Syed, Aman U. Khan, Alan J. Lough, and Daniel A. Foucher. RSC Adv. 20196, 3140.

DOI: 10.1039/C8RA10173F (external link) 

Crystal structure of a sulfonamide quaternary ammonium compound

"Synthesis and Characterization of Readily Modified Poly(aryl)(alkoxy)stannanes by use of Hypercoordinated Sn Monomers"

Jeffrey Pau, Gloria M. D'Amaral, Alan J. Lough, R. Stephen Wylie, and Daniel A. Foucher. Chem. Eur. J. 2018, 24, 18762-18771. 

DOI: 10.1002/chem.201804145 (external link) 

A crystal structure of a tosyl stannane

"“Push–push and push–pull” polystannanes"

Jasveer S. Dhindsa, Brad F. Jacobs, Alan J. Lough, and Daniel A. Foucher. Dalton Trans. 2018, 47, 14094-14100. 

DOI: 10.1039/C8DT03043J (external link) 

A ChemDraw of a polystannane with phenyl and butyl substituents

"Proof of Concept Studies Directed Towards Designed Molecular Wires: Property Driven Synthesis of Air and Moisture-Stable Polystannanes"

Jeffrey Pau, Robert A. Gossage, R. Stephen Wylie, Alan J. Lough, and Daniel A. Foucher. Chem. Eur. J. 2017, 23 (57), 14367-14374.

DOI: 10.1002/chem.201703453 (external link) 

Crystal structure of a hypercoordinate tin molecule shown to be air- and moisture-stable

"UV-​Curable Contact Active Benzophenone Terminated Quaternary Ammonium Antimicrobials for Applications in Polymer Plastics and Related Devices"

Lukasz Porosa, Alexander Caschera, Joseph Bedard, Amanda Mocella, Evan Ronan, Alan J. Lough, Gideon Wolfaardt, and Daniel A. Foucher. ACS Appl. Mater. Interfaces 2017, 9(33), 27491-27503.

DOI: 10.1021/acsami.7b07363 (external link) 

AFM of a C18 quaternary ammonium compound containing a benzophenone moiety

"Biomass Utilisation Strategies for Applications in Novel Polymer and Polymer Resin Production"

Justin J. S. Kosalka, Guerino G. Sacripante, Alan J. Lough, Daniel A. Foucher, and Robert A. Gossage. Polymers From Renewable Resources 2017, 8 (1), 1-10.

DOI: 10.1177/204124791700800101 (external link) 

Crystal structure of a unit cell of a bio-derived monomer

"A C18 Quaternary Ammonium Library"

Lukasz Porosa, Hellen Deng, Joseph Bedard, Alan J. Lough, Gideon Wolfaardt, and Daniel A. Foucher. ChemistrySelect 2016, 1 (21), 6914–6919.

DOI: 10.1002/slct.201601540 (external link) 

Crystal structure of a C18 quaternary ammonium compound

"Hypercoordinate compounds of the group 14 elements containing κn-​C,​N-​, C,​O-​, C,​S- and C,​P-​ligands"

Aman Khan and Daniel Foucher. Coord. Chem. Rev. 2016, 312, 41-66.

DOI: 10.1016/j.ccr.2015.10.009 (external link) 

Crystal structure of a hypercoordinate tin compound

"Crystal structure of (E)​-​(benzylidene)​(pyridin-​2-​ylmethyl)​amine"

Shane Harrypersad, Daniel Foucher, and Alan J. Lough. Acta Crystallogr. E. Crystallogr. Commun. 201571 (12), 1040.

DOI: 10.1107/S2056989015023324 (external link) 

Crystal structure of (E)​-​(benzylidene)​(pyridin-​2-​ylmethyl)​amine

"Linear Oligostannanes: A Synthetic and TD-DFT Study"

Shane Harrypersad, Laura Liao, Aman Khan, R. Stephen Wylie, and Daniel A. Foucher. J. Inorg. Organomet. Polym. Mater2015, 25 (3), 515-528.

DOI: 10.1007/s10904-015-0221-6 (external link) 

Two DFT HOMO diagrams of oligomeric stannanes

"Reduction of C,O-chelated organotin(IV) dichlorides and dihydrides leading to protected polystannanes"

Aman Khan, Sarah Komejan, Aagam Patel, Christopher Lombardi, Alan J. Lough, and Daniel A. Foucher. J. Organomet. Chem. 2015, (776), 180-191.

DOI: 10.1016/j.jorganchem.2014.11.010 (external link) 

Crystal structure of a C,O-chelating organotin compound

"Alternating Polystannanes: Syntheses and Properties"

Shane Harrypersad and Daniel A. Foucher. Chem. Comm2015, (51), 7120-7123.

DOI: 10.1039/C5CC00568J (external link) 

Tin NMR of a polystannane with alternating substituents

"Rapid Microwave-Assisted Synthesis of γ-Phosphonic Acid Quaternary Ammonium Antimicrobials for Biomedical Applications"

Lukasz Porosa, Gideon Wolfaardt, Alan J. Lough, and Daniel A. Foucher. Curr. Microw. Chem. 2015, (1), 69-82.

DOI: 10.2174/221333560201150212112554 (external link) 

Crystal structure of a phosphonic acid quaternary ammonium compound

"Nylon-Coated Ultra High Molecular Weight Polyethylene Fabric for Enhanced Penetration Resistance"

Dariush Firouzi, Daniel A. Foucher, and Habiba Bougherara. J. Appl. Polym. Sci. 2014, 131 (11) 40350.

DOI: 10.1002/app.40350 (external link) 

Nylon coated PE fabrics made to resist tearing

"Synthesis and Characterization of a Polyferrocenyldistannane"

Jon Ward, Saif Al-Alul, Shane Harrypersad, and Daniel A. Foucher. Can. J. Chem. 2014, (92), 525-532.

DOI: 10.1139/cjc-2013-0463 (external link) 

A ChemDraw of a polyferrocenylstannane

"A new technique to improve the mechanical and biological performance of ultra high molecular weight polyethylene using a nylon coating"

Dariush Firouzi, Aya Youssef, Momen Amer, Rami Srouji, Asma Amleh, Daniel A. Foucher, and Habiba Bougherara. J. Mech. Behav. Biomed. Mater. 2014, 32, 198-209.

DOI: 10.1016/j.jmbbm.2014.01.001 (external link) 

Treated and untreated PE with nylon coatings

"Organometallic macromolecules with piano stool coordination repeating units: chain configuration and stimulated solution behaviour"

Kai Cao, Jonathan Ward, Ryan C. Amos, Moon Gon Jeong, Kyoung Taek Kim, Mario Gauthier, Daniel Foucher, and Xiaosong Wang. Chem. Commun. 2014, 50 (70), 10062-10065.

DOI: 10.1039/C4CC03064H (external link) 

A ChemDraw, two test tubes and crystal structure of a Fe-acyl complex with a P-Fe-C backbone surrounded by aromatic groups

"Synthesis, structures and properties of self-assembling quaternary ammonium dansylfluorescent tags for porous and non-porous surfaces"

Lukasz M. Porosa, Kamlesh B. Mistry, Amanda Mocella, Hellen Deng, Shayan Hamzehi, Alex Caschera, Alan J. Lough, Gideon Wolfaardt, and Daniel A. Foucher. J. Mat. Chem. B. 2014, (11), 1509-1520.

DOI: 10.1039/C3TB21633K (external link) 

Crystal structure of quaternary ammonium salts containing dansyl fluorescent moieties

"Recent advances in the homogeneous polymerization of olefins mediated by nickel complexes"

Yee-Yue Grace Luk, Daniel A. Foucher, and Robert A. Gossage. C. R. Chim. 2013, 16 (6), 573-579.

DOI: 10.1016/j.crci.2012.12.015 (external link) 

Side view of three nickel clusters

"Synthesis and Spectral Electrochemical Properties of a Symmetrical Tristanna-Bridged [3.3]Ferrocenophane"

Jon Ward, Saif Al-Alul, Matthew W. Forbes, Timothy E. Burrow, and Daniel A. Foucher. Organometallics 2013, 2 (10), 2893–2901.

DOI: 10.1021/om301065q (external link) 

A ChemDraw of a bridged stannane ferrocene compound

"Synthesis, Characterization, and Theoretical Analysis of Soluble Poly(oxothiazenes): The Ambient Temperature Lewis Acid Catalyzed in Situ Polymerization of N-Silylsulfonimidoyl Chlorides"

Victora Aldeva, Sossina Gesahegn, Babak Panahi, Michelle Shuoprasad, Jon Ward, Daniel A. Foucher, Robert A. Gossage, and Andrew R. McWilliams. Macromolecules 2013, 46 (7), 2562-2568.

DOI: 10.1021/ma302424u (external link) 

Orbital energy graph of a poly(oxothiazene)

"Pd-catalysed reactions of alkynes with model distannanes and poly[di-(n-butyl)]stannane"

Aman Khan, Alan J. Lough, Robert A. Gossage, and Daniel A. Foucher. Dalton Trans. 2013, 42 (7), 2469-2476.

DOI: 10.1039/C2DT31999C (external link) 

Crystal structure of  (Z,Z)-1,4-bis(trimethylstannyl)-1,4-diphenylbuta-1,3-diene

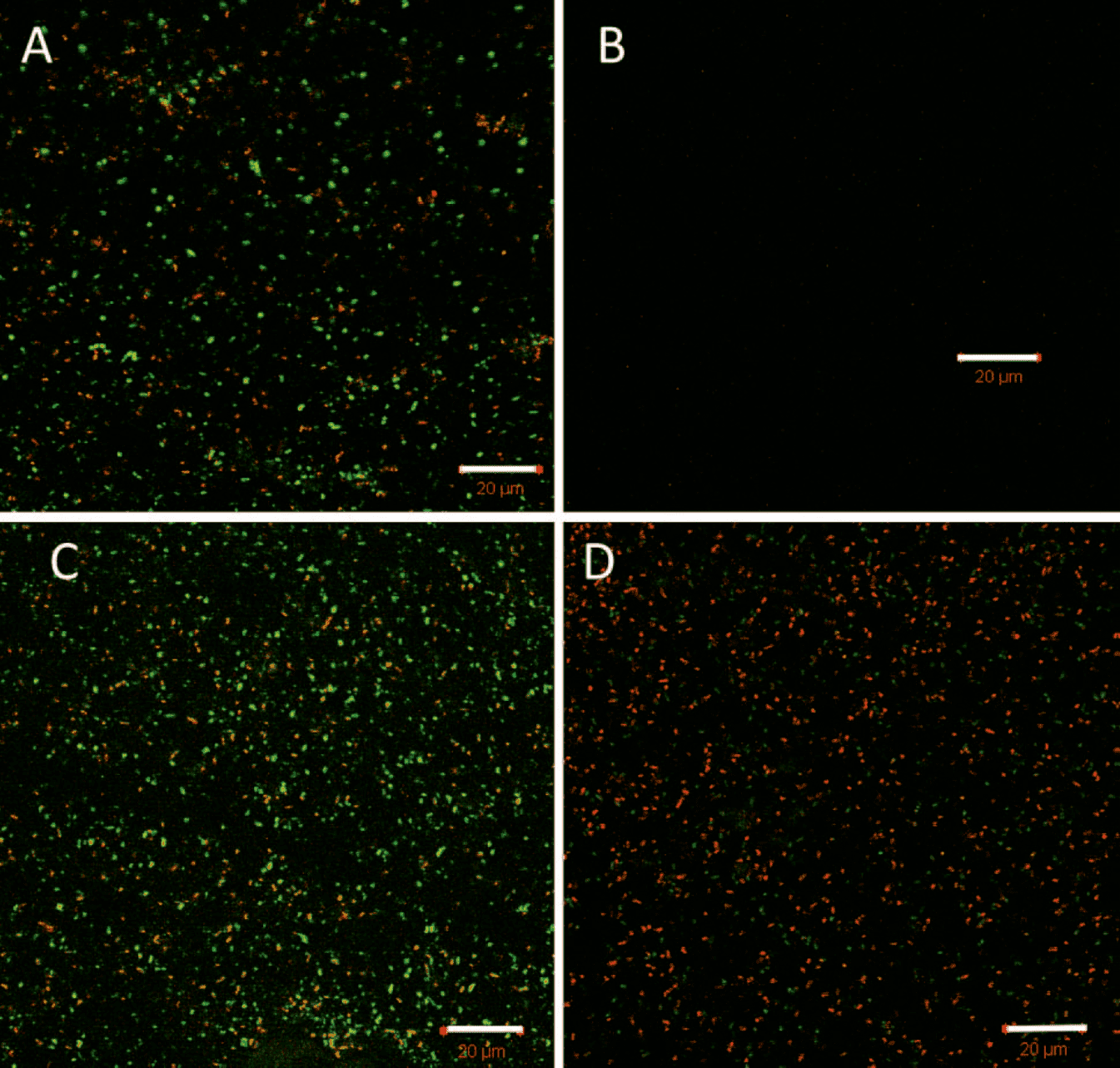
"Assessment of the working range and effect of sodium dichloroisocyanurate on Pseudomonas aeruginosa biofilms and planktonic cells"

Ari Morgenthau, Alexandru M. Nicolae, Andrew E. Laursen, Daniel A. Foucher, Gideon Wolfaardt, and Martina Hausner. Biofouling 2012, 28 (1), 111-120.

DOI: 10.1080/08927014.2011.654335 (external link) 

CLSM microscopy of P. aeruginosa biofilms

"Unusual Cationic Tri-nuclear Nickel Clusters Incorporating Oxazolines or N,N,N′,N′-Tetramethylethylene-1,2-diamine: Applications in Olefin Polymerization"

Sanja Resanović, R. Stephen Wylie, J. Wilson Quail, Daniel A. Foucher, and Robert A. Gossage. Inorg. Chem. 2011, 50, 9930-9932.

DOI: 10.1021/ic201478y (external link) 

Crystal structure of a nickel oxazoline compound

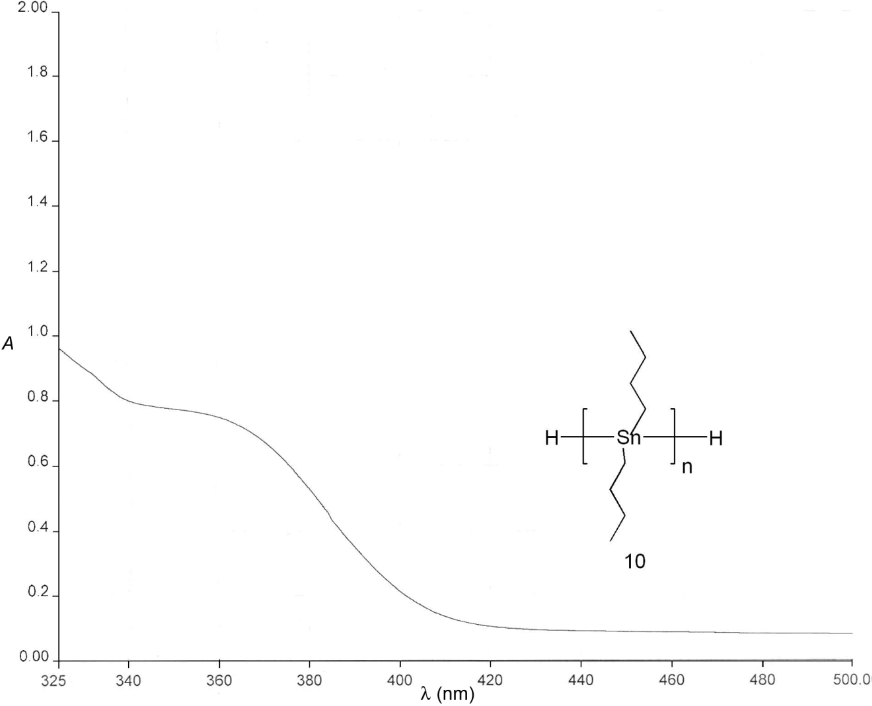
"A convenient route to distannanes, oligostannanes and polystannanes"

Aman Khan, Robert A. Gossage, and Daniel A. Foucher. Can. J. Chem. 201088, 1046-1052.

DOI: 10.1139/V10-130 (external link) 

UV-VIS spectrum of a polystannane

"Wurtz Coupling of Perfluorinated Dichlorostannanes"

Damion Miles, Timothy Burrow, Alan Lough, and Daniel Foucher. J. Inorg. Organomet. Polym. Mater. 2010, 20, 544-553.

DOI: 10.1007/s10904-010-9376-3 (external link) 

Crystal structures of two perfluorinated dichlorostannanes

"The Unexpected Synthesis of Oligomeric (Dimethylsilyl) Bridged Ferrocenes from the Desilylative Coupling of Tertiary 1,1’-Bis(dimethylsilyl)Ferrocene"

Damion Miles, Jon Ward, and Daniel A. Foucher. Organometallics 2010, 29, 1057-1060.

DOI: 10.1021/om100041k (external link) 

A ChemDraw reaction showing actual and expected ferrocene products

"3-Amino-1-methyl­pyrazin-1-ium iodide"

Daniel Foucher, Stephen Wylie, Donal H. Mccartney, and Alan J. Lough. Acta Crystallogr. Sect. E Struct. Rep. Online 201066 (Pt. 1), o-60

DOI: 10.1107/S1600536809051253 (external link) 

Crystal structure of 3-Amino-1-methyl­pyrazin-1-ium iodide

"3-Amino-1-methyl­pyrazin-1-ium chloride"

Daniel Foucher, Stephen Wylie, Joshua Acosta, and Alan J. Lough. Acta Crystallogr. Sect. E Struct. Rep. Online 2010, 66 (Pt. 1), o-61

DOI: 10.1107/S1600536809051265 (external link) 

Crystal structure of 3-Amino-1-methyl­pyrazin-1-ium chloride

"Polyferrocenyldisiloxane from the Platinum-Catalyzed Reactions of Tertiary Bis(dimethylsilyl)ferrocene in a Polar Aprotic Solvent"

Damion Miles, Jon Ward, and Daniel A. Foucher. Macromolecules 2009, 42, 9199-9203.

DOI: 10.1021/ma9018608 (external link) 

A ChemDraw of a polyferrocenyldisiloxane

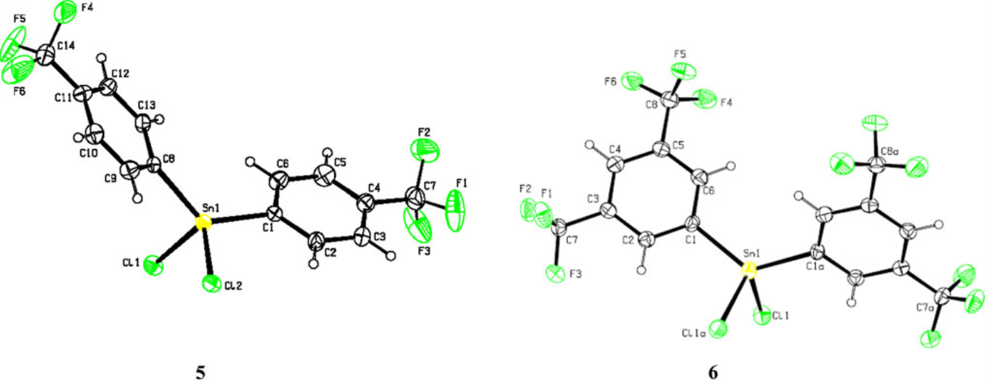
"Tetrakis[3,5-bis(trifluoromethyl)phenyl]tin(IV)"

Daniel Foucher, Damion Miles, and Alan J. Lough. Acta Crystallogr. Sect. E Struct. Rep. Online 200965 (7), m-704.

DOI: 10.1107/S1600536809019588 (external link) 

Crystal structure of tetrakis[3,5-bis(trifluoromethyl)phenyl]tin(IV)

Previous to Toronto Metropolitan University

"Copper-Mediated Polycondensations of Substituted Diiodoferrocenes and Bis(stannyl)ferrocenes:  Synthesis and Properties of Soluble Polyferrocenylenes Containing Trimethylsilyl or Methyl Groups"

Peter Park, Alan J. Lough and Daniel A. Foucher. Macromolecules 200235 (10), 3810-3818.

DOI: 10.1021/ma0120052 (external link) 

"1,1'-Diiodo-3,3'-bis(trimethylsilyl ferrocene"

Daniel A. Foucher, Alan J. Lough and Peter Park. Acta Crys. 1999, C55, 33-35.

DOI: 10.1107/S0108270198009792 (external link) 

"Synthesis, Reactivity, and Ring-Opening Polymerization (ROP) of Tin-Bridged [1]Ferrocenophanes"

Frieder Jäckle, Ron Rulkens, Gernot Zech, Daniel A. Foucher, Alan J. Lough and Ian Manners. Chem. Eur. J., 1998, 4, 11, 2177-2128.

DOI: 10.1002/SICI (external link) 

"Solid state polymerization of the unsymmetrical [1]ferrocenophane Fe(η-C5H4)2SiMePh; synthesis of the first stereoregular organometallic polymer"

John Rasburn, Daniel A. Foucher, William F. Reynolds and G. Julius Vancso. Chem. Comm. 1998, (7), 843-844. 

DOI: 10.1039/A801042K (external link) 

"Thermal and Transition-Metal-Catalyzed Ring-Opening Polymerization (ROP) of [1]Silaferrocenophanes with Chlorine Substituents at Silicon:  A Route to Tunable Poly(ferrocenylsilanes)"

David L. Zechel, Kai C. Hultzsch, Ron Rulkens, David Balaishis, Yizeng Ni, John K. Pudelski, Alan J. Lough, Ian Manners and Daniel A. Foucher. Organometallics 1996, 15 (8), 1972–1978.

DOI: 10.1021/om950911v (external link) 

"Synthesis, Characterization, and Properties of High Molecular Weight Poly(ferrocenylgermanes) and Poly(ferrocenylsilane)−Poly(ferrocenylgermane) Random Copolymers"

Timothy J. Peckham, Jason A. Massey, Mark Edwards, Ian Manners and Daniel A. Foucher. Macromolecules 1996, 29 (7), 2396–2403.

DOI: 10.1021/ma951408x (external link) 

"Synthesis, Characterization, and Properties of High Molecular Weight Poly(methylated ferrocenylsilanes) and Their Charge Transfer Polymer Salts with Tetracyanoethylene"

John K. Pudelski, Daniel A. Foucher, Charles H. Honeyman, Peter M. Macdonald, Ian Manners, Stephen Barlow and Dermot O'Hare. Macromolecules 1996, 29 (6), 1894–1903.

DOI: 10.1021/ma9511863 (external link) 

"Thermal Ring-Opening Polymerization (ROP) of Strained, Ring-Tilted Phosphorus-Bridged [1]Ferrocenophanes: Synthesis of Poly(ferrocenylphosphines) and Poly(ferrocenylphosphine sulfides)"

Charles H. Honeyman, Daniel A. Foucher, Francisco Y. Dahmen, Rudy Rulkens, Alan J. Lough and Ian Manners. Organometallics 1995, 14 (12), 5503–5512.

DOI: 10.1021/om00012a017 (external link) 

"The synthesis and polymerization behaviour of silicon-bridged [1]- and [2]ferrocenophanes with sterically demanding trimethylsilyl substituents attached to the cyclopentadienyl rings"

Timothy J. Peckham, Daniel A. Foucher, Alan J. Lough and Ian Manners. Can. J. Chem. 1995, 73 (11), 2069-2078.

DOI: 10.1139/v95-255 (external link) 

"The structure of (1,1′-ferrocenediyl)di-n-butylsilane"

Mark Edwards, Daniel A. Foucher, Alan J. Lough and Ian Manners. Zeitschrift für Kristallographie-Crystalline Materials 1995, 210 (11), 865-867.

DOI: 10.1524/zkri.1995.210.11.865 (external link) 

"Pyrolysis of Poly(ferrocenylsilanes): Synthesis and Characterization of Ferromagnetic Transition-Metal-Containing Ceramics and Molecular Depolymerization Products"

Ruth Peterson, Daniel A. Foucher, Ben-Zhong Tang, Alan Lough, Nandyala P. Raju, John E. Greendan and Ian Manners. Chem. Mater. 1995, 7 (11), 2045–2053.

DOI: 10.1021/cm00059a010 (external link) 

"Synthesis and Properties of Poly(ferrocenyldihydrosilane) Homopolymer and Random Copolymers"

John K. Pudelski, Ron Rulkens, Daniel A. Foucher, Alan J. Lough, Peter M. MacDonald and Ian Manners. Macromolecules 1995, 28 (22), 7301–7308. 

DOI: 10.1021/ma00126a001 (external link) 

" 1,1'-Bis(trimethylsilyl)ferrocenium Tetrachloroaluminate(1-), 1,1'-Bis(trimethylsilyl)ferrocene and 1,1'-Dimethylferrocene"

Daniel A. Foucher, Charles H. Honeyman, Alan J. Lough, Ian Manners and James M. Nelson. Acta Cryst. 1995, C51, 1795-1799.

DOI: 10.1107/S0108270195003155 (external link) 

"Synthesis, Structures, and Properties of Strained, Silicon-Bridged [1]Ferrocenophanes with Methylated Cyclopentadienyl Rings"

John K. Pudelski, Daniel A. Foucher, Charles H. Honeyman, Alan J. Lough, Ian Manners, Stephen Barlow and Dermot O'Hare. Organometallics 1995, 14 (5), 2470–2479.

DOI: 10.1021/om00005a051 (external link) 

"The First Unsymmetrically Substituted Ring-Tilted Silicon-Bridged [1]Ferrocenophane"

Daniel A. Foucher, Alan J. Lough, Ian Manners, John Rasburn, and G. Julius Vancso. Acta Cryst1995, C51, 580-582.

DOI: 10.1107/S010827019401190X (external link) 

"Synthesis, structural characterization, electrochemical properties and polymerization behaviour of the first silicon-bridged [1.1]ferrocenophane [{Fe(η-C5H4)2SiMe2}2]"

David L. Zechel, Daniel A. Foucher, John K. Pudelski, Glenn P. A. Yap, Arnold L. Rheingold and Ian Manners. J. Chem. Soc., Dalton Trans. 1995, (11), 1893-1899.

DOI: 10.1039/DT9950001893 (external link) 

"Ring-Opening Polymerization of Strained, Ring-Tilted [1]Ferrocenophanes with Germanium in the Bridge: Structures of the [1]Germaferrocenophane Fe(η-C5H4)2GeMe2 and the Ferrocenylgermane Fe(η-C5H4GeEt2Cl)(η-C5H5)"

Daniel A. Foucher, Mark Edwards, Robert A. Burrow, Alan J. Lough and Ian Manners. Organometallics 1994, 13 (12), 4959–4966.

DOI: 10.1021/om00024a044 (external link) 

"Synthesis, Characterization, and Properties of High Molecular Weight Unsymmetrically Substituted Poly(ferrocenylsilanes)"

Daniel Foucher, Ralf Ziembinski, Ruth Peterson, John Pudelski, Mark Edwards, Yizeng Ni, Jason Massey, C. Raimund Jaeger, G. Julius Vancso and Ian Manners. Macromolecules 1994, 27 (14), 3992–3999.

DOI: 10.1021/ma00092a046 (external link) 

"Synthesis, Structures, and the Redistribution and Skeletal Cleavage Reactions of Siloxane-Bridged Ferrocenophanes"

Constantina Angelakos, Deborah B. Zamble, Daniel A. Foucher, Alan J. Lough and Ian Manners. Inorg. Chem. 1994, 33 (8), 1709–1718.

DOI: 10.1021/ic00086a023 (external link) 

"Organometallic Ferrocenyl Polymers Displaying Tunable Cooperative Interactions between Transition Metal Centers"

Daniel A. Foucher, Charles H. Honeyman, James M. Nelson, Ben-Zhong Tang and Ian Manners. Angew. Chem. Int. Ed. Engl. 1993, 32 (12), 1709-1711.

DOI: 10.1002/anie.199317091 (external link) 

"Kinetics and mechanism of ligand substitution reactions of pentacyanoferrate(II) complexes with bridging N-heterocyclic dications in aqueous media"

Daniel A. Foucher, Donal H. Macartney, Lauren J. Warrack and John P. Wilson. Inorg. Chem. 1993, 32 (16), 3425–3432.

DOI: 10.1021/ic00068a010 (external link) 

"Synthesis, characterization, glass transition behavior, and the electronic structure of high-molecular-weight, symmetrically substituted poly(ferrocenylsilanes) with alkyl or aryl side groups"

Daniel A. Foucher, Ralf Ziembinski, Ben-Zhong Tang, Peter M. Macdonald, Jason Massey, C. Raimond Jaeger, G. Julius Vancso and Ian Manners. Macromolecules 1993, 26 (11), 2878–2884.

DOI: 10.1021/ma00063a037 (external link) 

"Rings, Polymers, and New Materials Containing Phosphorus and Other Main Group Main Elements or Transition Metals"

Ralf Ziembinski, Charles Honeyman, Ophyr Mourad, Dan Foucher, Rudy Rulkens, Mong Liang, Yizeng Ni and Ian Manners. Phosphorus Sulfur Silicon Relat. Elem. 1993, 76 (1-4), 219-222.

DOI: 10.1080/10426509308032398 (external link) 

"The polymerization behavior of [1]- and [2]ferrocenophanes containing silicon atoms in the bridge: comparison of the molecular structure of the strained, polymerizable cyclic ferrocenylsilane Fe(η-C5H4)2(SiMe2) with that of the cyclic ferrocenyldisilane Fe(η-C5H4)2(SiMe2)2"

Wolfgang Finckh, Ben-Zhong Tang, Daniel A. Foucher, Deborah B. Zamble, Ralf Ziembinski, Alan Lough and Ian Manners. Organometallics 1993, 12 (3), 823–829.

DOI: 10.1021/om00027a035 (external link) 

"Ring-opening polymerization as a route to new organometallic polymers: Synthesis of the first poly(ferrocenylgermane)"

Daniel A. Foucher and Ian Manners. Makromol. Chem., Rapid Commun. 1993, 14 (2), 63-66.

DOI: 10.1002/marc.1993.030140201 (external link) 

"Novel ceramic and organometallic depolymerization products from poly(ferrocenylsilanes)via pyrolysis"

Ben-Zhong Tang, Ruth Peterson, Daniel A. Foucher, Alan Lough, Neil Coombs, Rana Sodhi and Ian Manners. J. Chem. Soc., Chem. Commun. 1993, (6), 523-525.

DOI: 10.1039/C39930000523 (external link) 

"Ring-opening polymerization of strained, ring-tilted ferrocenophanes: a route to high-molecular-weight poly(ferrocenylsilanes)"

Daniel A. Foucher, Ben-Zhong Tang and Ian Manners. J. Am. Chem. Soc. 1992, 114 (15), 6246–6248.

DOI: 10.1021/ja00041a053 (external link) 

"Synthesis, properties, and the ring-ring transformation reactions of cyclic siloxanes incorporating skeletal boron atoms: x-ray crystal structures of the strained boracyclotrisiloxane (PhBO)(Ph2SiO)2 and the boracyclotetrasiloxane (PhBO)(Ph2SiO)3"

Daniel A. Foucher, Alan J. Lough and Ian Manners. Inorg. Chem. 1992, 31 (14), 3034–3043.

DOI: 10.1021/ic00040a010 (external link) 

"Ring-Opening Polymerization as a Route to New Inorganic Macromolecules"

Mong Liang, Chris Waddling, Charles Honeyman, Dan Foucher and Ian Manners. Phosphorus Sulfur Silicon Relat. Elem. 1992, 64 (1-4), 113-120. 

DOI: 10.1080/10426509208041136 (external link) 

"A highly strained heterocyclosiloxane: synthesis and X-ray crystal structure of pentaphenylboracyclotrisiloxane BSi2O3Ph5"

Daniel A. Foucher, Alan J. Lough and Ian Manners. J. Organomet. Chem. 1991, 414 (1), C1-C4.

DOI: 10.1016/0022-328X(91)83249-4 (external link) 

"Electron-exchange and electron-transfer reactions involving the tetrakis(acetato)bis(acetonitrile)dirhodium(0)/(1+) couple in acetonitrile"

Manuel A. S. Aquino, Daniel A. Foucher and Donal H. Macartney. Inorg. Chem. 1989, 28 (17), 3357–3361.

DOI: 10.1021/ic00316a024 (external link) 

"Structure of 1,3-bis(1-pyrazinio)propane dibromide"

Daniel A. Foucher, Suzanne Fortier and Donal H. Macartney. Acta Cryst. 1989, C45, 112-114.

DOI: 10.1107/S0108270188010029 (external link)